Παρασκευή, 31 Οκτωβρίου 2025
Follow us
facebook
youtube
instagram
X
Επιλογές
Κοινωνία
Πολιτική
Χίος Πόλη
Πολιτισμός
Τουρισμός
Απόψεις
Μικρές Αγγελίες
Έντυπος «π»
ΥΠΗΡΕΣΙΕΣ
Μικρές Αγγελίες
Έντυπη Έκδοση
Κοινωνικά
Ανακοινώσεις
Ημερολόγιο εκδηλώσεων
Ιατρικό ευρετήριο
Εφημερεύοντα φαρμακεία Χίος
ΕΙΔΗΣΕΙΣ
Απόψεις
Κοινωνία
Αυτοδιοίκηση
Πολιτική
Οικονομία
Βόρειο Αιγαίο
Χίος Πόλη
Χωριά
Ελλάδα
Εκκλησιαστικά
Ομογένεια
Αστυνομικά
Τουρισμός
Ναυτιλία
Υγεία
Πολιτισμός
Εκπαίδευση
Αγορά
Προτάσεις
Παρελθόν
Στιγμιότυπα
Σινεμά
Ταξίδι
Αθλητισμός
Magazine
SOCIAL
Messenger
Facebook
Viber
Instagram
Twitter
Youtube
Google news
ΠΛΗΡΟΦΟΡΙΕΣ
Αναζήτηση
Ταυτότητα
Όροι χρήσης
Διαφήμιση
Επικοινωνία
Κρούσματα Covid 19
Άρθρα που αφορούν το tag: Κρούσματα Covid 19
Πριν 3 χρόνια
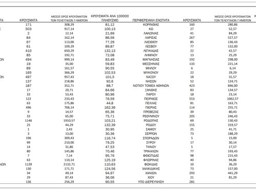
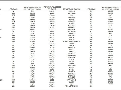
ΕΟΔΥ 8/3: 137 κρούσματα Covid19 στη Χίο
Πριν 3 χρόνια
Συνεχής μείωση των κρουσμάτων στα γυμνάσια και τα λύκεια της Χίου
Πριν 3 χρόνια
ΕΟΔΥ 7/3: 46 κρούσματα Covid19 στη Χίο
Πριν 3 χρόνια
ΕΟΔΥ 5/3: 61 κρούσματα Covid19 στη Χίο
Πριν 3 χρόνια
ΕΟΔΥ 4/3: 87 κρούσματα Covid19 στη Χίο
Πριν 3 χρόνια
ΕΟΔΥ 3/3: 98 κρούσματα Covid19 στη Χίο
Πριν 3 χρόνια
Η Χίος στις 11 περιοχές με τη μεγαλύτερη διασπορά Covid19
Πριν 3 χρόνια
ΕΟΔΥ 3/2: 98 κρούσματα στη Χίο
Πριν 3 χρόνια
ΕΟΔΥ 1/3: 77 κρούσματα Covid 19 στη Χίο
Πριν 3 χρόνια
ΕΟΔΥ 28/2: 131 κρούσματα Covid19 στη Χίο
Πριν 3 χρόνια
ΕΟΔΥ 27/2: 33 κρούσματα Covid19 στη Χίο
Πριν 3 χρόνια
ΕΟΔΥ 25/2: 102 κρούσματα Covid19 στη Χίο
Πριν 3 χρόνια
ΕΟΔΥ 24/2: 94 κρούσματα Covid19 στη Χίο
Πριν 3 χρόνια
ΕΟΔΥ 23/2: 110 κρούσματα Covid19 στη Χίο
Πριν 3 χρόνια
Άρση μέτρων: Σήμερα η συνεδρίαση της Επιτροπής
Πριν 3 χρόνια
ΕΟΔΥ 22/2: 107 κρούσματα Covid19 στη Χίο
Πριν 3 χρόνια
Self test: Πότε παραλαμβάνουν τα νέα δωρεάν self test μαθητές και εκπαιδευτικοί
Πριν 3 χρόνια
ΕΟΔΥ 21/2: 141 κρούσματα Covid19 στη Χίο
Πριν 3 χρόνια
ΕΟΔΥ 18/2: 137 κρούσματα Covid19 στη Χίο
Πριν 3 χρόνια
ΕΟΔΥ 17/2: 142 κρούσματα Covid19 στη Χίο
Πριν 3 χρόνια
EODY 16/2: 164 κρούσματα Covid19 στη Χίο
Πριν 3 χρόνια
ΕΟΔΥ 15/2: Πάνω από 200 τα κρούσματα στη Χίο
Πριν 3 χρόνια
ΕΟΔΥ 14/2: 163 κρούσματα Covid19 στη Χίο
Πριν 3 χρόνια
ΕΟΔΥ 13/2: 80 κρούσματα Covid19 στη Χίο
Πριν 3 χρόνια
ΕΟΔΥ 11/2: 117 κρούσματα Covid19 στη Χίο
Πριν 3 χρόνια
ΕΟΔΥ 10/2: 143 κρούσματα Covid 19 στη Χίο
Πριν 3 χρόνια
ΕΟΔΥ 9/2: 119 κρούσματα Covid19 στη Χίο
Πριν 3 χρόνια
ΕΟΔΥ 8/2: 143 κρούσματα Covid19 στη Χίο
Πριν 3 χρόνια
ΕΟΔΥ 7/2: 127 κρούσματα Covid19 στη Χίο
Πριν 3 χρόνια
Στο Νοσοκομείο Παίδων 11χρονος από την Μυτιλήνη
Πριν 3 χρόνια
ΕΟΔΥ 6/2: 65 κρούσματα Covid19 στη Χίο
Πριν 3 χρόνια
ΕΟΔΥ 5/2: 107 κρούσματα Covid 19 στη Χίο
Πριν 3 χρόνια
ΕΟΔΥ 4/2: 120 κρούσματα Covid19 στη Χίο
Πριν 3 χρόνια
Πρόβλεψη για εκτίναξη κρουσμάτων πάνω από 30.000 στα τέλη Φεβρουαρίου
Πριν 3 χρόνια
ΕΟΔΥ 3/2: 92 κρούσματα Covid 19 στη Χίο
Πριν 3 χρόνια
ΕΟΔΥ 2/2: 105 κρούσματα covid 19 στη Χίο
Πριν 3 χρόνια
ΕΟΔΥ 1/2: 97 κρούσματα Covid19 στη Χίο
Πριν 3 χρόνια
ΕΟΔΥ 31/1: 134 κρούσματα Covid19 στη Χίο
Πριν 3 χρόνια
ΕΟΔΥ 27/1: 96 κρούσματα Covid19 στη Χίο
Πριν 3 χρόνια
ΕΟΔΥ 26/1: 134 κρούσματα Covid19 στη Χίο
Πριν 3 χρόνια
ΕΟΔΥ 25/1: 91 κρούσματα Covid19 στη Χίο
Πριν 3 χρόνια
ΕΟΔΥ 24/1: 119 κρούσματα Covid19 στη Χίο
Πριν 3 χρόνια
ΕΟΔΥ 22/1: 94 κρούσματα Covid19 στη Χίο
Πριν 3 χρόνια
ΕΟΔΥ 21/1 - 92 κρούσματα Covid19 στη Χίο
Πριν 3 χρόνια
ΕΟΔΥ 20/1: 69 κρούσματα Covid19 στη Χίο
Πριν 3 χρόνια
ΕΟΔΥ 19/1: Ξανά 3ψήφιος αριθμός κρουσμάτων στη Χίο
Πριν 3 χρόνια
ΕΟΔΥ 18/1: 70 κρούσματα Covid19 στη Χίο
Πριν 3 χρόνια
ΕΟΔΥ 17/1: 113 νέα κρούσματα στη Χίο - 18.834 πανελλαδικά
Πριν 3 χρόνια
ΕΟΔΥ 16/1: 21 κρούσματα Covid19 στη Χίο
Πριν 3 χρόνια
ΕΟΔΥ 14/1: 65 κρούσματα Covid19 στη Χίο
προηγούμενη
1
2
3
4
5
επόμενη