Τρίτη, 16 Δεκεμβρίου 2025
Follow us
facebook
youtube
instagram
X
Επιλογές
Κοινωνία
Πολιτική
Χίος Πόλη
Πολιτισμός
Τουρισμός
Απόψεις
Μικρές Αγγελίες
Έντυπος «π»
ΥΠΗΡΕΣΙΕΣ
Μικρές Αγγελίες
Έντυπη Έκδοση
Κοινωνικά
Ανακοινώσεις
Ημερολόγιο εκδηλώσεων
Ιατρικό ευρετήριο
Εφημερεύοντα φαρμακεία Χίος
ΕΙΔΗΣΕΙΣ
Απόψεις
Κοινωνία
Αυτοδιοίκηση
Πολιτική
Οικονομία
Βόρειο Αιγαίο
Χίος Πόλη
Χωριά
Ελλάδα
Εκκλησιαστικά
Ομογένεια
Αστυνομικά
Τουρισμός
Ναυτιλία
Υγεία
Πολιτισμός
Εκπαίδευση
Αγορά
Προτάσεις
Παρελθόν
Στιγμιότυπα
Σινεμά
Ταξίδι
Αθλητισμός
Magazine
SOCIAL
Messenger
Facebook
Viber
Instagram
Twitter
Youtube
Google news
ΠΛΗΡΟΦΟΡΙΕΣ
Αναζήτηση
Ταυτότητα
Όροι χρήσης
Διαφήμιση
Επικοινωνία
Υγεία
Πριν 3 χρόνια
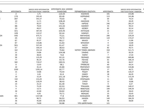
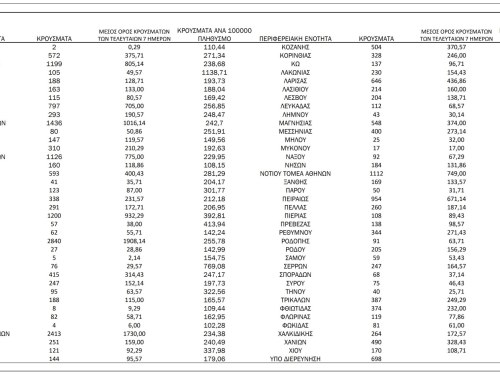
ΕΟΔΥ 1/7: 90 κρούσματα Covid 19 στη Χίο
Πριν 3 χρόνια
Πρεμιέρα για τον Προσωπικό Ιατρό αλλά με ελάχιστο ενδιαφέρον από τους γιατρούς (ΒΙΝΤΕΟ)
Πριν 3 χρόνια
ΣτΕ: Συνταγματικός ο υποχρεωτικός εμβολιασμός για τους άνω των 60
Πριν 3 χρόνια
ΕΟΔΥ 30/6: 63 κρούσματα Covid 19 στη Χίο
Πριν 3 χρόνια
Στο μικροσκόπιο ιατρικής έρευνας οι ευεργετικές ιδιότητες του μαστιχέλαιου (ΒΙΝΤΕΟ)
Πριν 3 χρόνια
ΕΟΔΥ 29/6: 61 κρούσματα Covid 19 στη Χίο
Πριν 3 χρόνια
ΕΟΔΥ 28/6: 64 κρούσματα Covid 19 στη Χίο
Πριν 3 χρόνια
Πλεύρης για κορωνοϊό: Ίσως ληφθούν ήπια μέτρα το φθινόπωρο - Δεν έχει νόημα τώρα
Πριν 3 χρόνια
Νίκος Τζανάκης: Κοντά στις 20.000 σήμερα τα κρούσματα – Θα φτάσουν 30.000 μετά τα μέσα Ιουλίου
Πριν 3 χρόνια
ΕΟΔΥ 27/6: 29 κρούσματα Covid 19 στη Χίο
Πριν 3 χρόνια
Τι είναι η διπολική διαταραχή;
Πριν 3 χρόνια
Σαρηγιάννης: 25.000 κρούσματα κορωνοϊού της ημέρα έως τις 15 Ιουλίου
Πριν 3 χρόνια
Εθελοντική αιμοδοσία από τον Σύλλογο Αθλητών Υγείας Χίου
Πριν 3 χρόνια
ΕΟΔΥ 24/6: 32 κρούσματα Covid 19 στη Χίο
Πριν 3 χρόνια
Κορωνοϊός: Τη Δευτέρα 27 Ιουνίου ανοίγει η πλατφόρμα για τέταρτη δόση για όλους άνω των 30
Πριν 3 χρόνια
ΕΟΔΥ 23/6: 21 κρούσματα Covid 19 στη Χίο
Πριν 3 χρόνια
Εμβολιασμό για όλους άνω των 30 εισηγείται η επιτροπή των ειδικών
Πριν 3 χρόνια
Παθολογική – Έτοιμα τα κτίρια αλλά… χωρίς εξοπλισμό (ΒΙΝΤΕΟ)
Πριν 3 χρόνια
4 Συμβουλές για την Απώλεια Βάρους
Πριν 3 χρόνια
«Έξυπνο» βραχιολάκι μπορεί να ανιχνεύσει την Covid-19 πριν από τα συμπτώματα
Πριν 3 χρόνια
Κορωνοϊός - Μ. Γκάγκα: Εμβολιασμοί το φθινόπωρο με διπλή δόση - Θ. Πλεύρης: Κανένας λόγος για μέτρα τώρα
Πριν 3 χρόνια
ΕΟΔΥ 22/6: 28 κρούσματα Covid 19 στη Χίο
Πριν 3 χρόνια
Μαύρα σύννεφα πάνω από «Σκυλίτσειο» και Ε.Σ.Υ. (ΒΙΝΤΕΟ)
Πριν 3 χρόνια
ΕΟΔΥ 21/6: 25 κρούσματα Covid 19 στη Χίο
Πριν 3 χρόνια
24ωρη πανυγειονομική απεργία την Τετάρτη 22/6
Πριν 3 χρόνια
Μαγνητική τομογραφία τεχνητής νοημοσύνης εντοπίζει νωρίς τη νόσο Αλτσχάιμερ
Πριν 3 χρόνια
ΕΟΔΥ 20/6: 14 κρούσματα Covid 19 στη Χίο
Πριν 3 χρόνια
Αρχισε η εξάπλωση του 6ου κύματος στην Ελλάδα – Θα υπάρξουν μέτρα;
Πριν 3 χρόνια
Πώς θα γίνει η εγγραφή του πληθυσμού σε προσωπικό ιατρό
Πριν 3 χρόνια
Ευλογιά των πιθήκων / Μέχρι τέλη Ιουνίου το εμβόλιο στην ΕΕ - Η ανακοίνωση του ΕΟΔΥ
Πριν 3 χρόνια
ΕΟΔΥ 16/6: 14 κρούσματα Covid 19 στη Χίο
Πριν 3 χρόνια
Πλεύρης: Αναμένεται θερινό κύμα κορωνοϊού – Δεν θα χρειαστούν μέτρα
Πριν 3 χρόνια
Οδηγίες προσέλευσης ασθενών στα οδοντιατρεία από τον Οδοντιατρικό Σύλλογο Χίου
Πριν 3 χρόνια
ΕΟΔΥ 15/6: 15 κρούσματα Covid 19 στη Χίο
Πριν 3 χρόνια
«Μόνο στα όνειρά του θα δει την παραίτησή μου ο Βουλευτής του ΣΥΡΙΖΑ» (ΗΧΗΤΙΚΟ)
Πριν 3 χρόνια
Η ΕΕ θα αγοράσει 110.000 εμβόλια για την ευλογιά των πιθήκων
Πριν 3 χρόνια
ΕΟΔΥ 14/6: 14 κρούσματα Covid 19 στη Χίο
Πριν 3 χρόνια
Εθελοντές έχουμε αλλά γιατρούς στο Αιματολογικό δεν έχουμε (ΒΙΝΤΕΟ)
Πριν 3 χρόνια
Χωρίς μαστογράφο, χωρίς μαγνητικό και τώρα χωρίς αξονικό τομογράφο (ΗΧΗΤΙΚΟ)
Πριν 3 χρόνια
Ευρωπαϊκό ψηφιακό πιστοποιητικό: Παρατείνεται για έναν χρόνο
Πριν 3 χρόνια
ΕΟΔΥ 10/6: 12 κρούσματα Covid 19 στη Χίο
Πριν 3 χρόνια
ΕΟΔΥ 9/6: 4 κρούσματα Covid 19 στη Χίο
Πριν 3 χρόνια
Πρόγραμμα «Φώφη Γεννηματά»: Από αύριο τα SMS στις δικαιούχους για δωρεάν μαστογραφίες
Πριν 3 χρόνια
ΕΟΔΥ 8/6: 6 κρούσματα Covid 19 στη Χίο
Πριν 3 χρόνια
ΕΟΔΥ 7/6: 9 κρούσματα Covid 19 στη Χίο
Πριν 3 χρόνια
Μέχρι τέλος Ιουνίου η ενίσχυση του ΕΚΑΒ Χίου με προσωπικό (BINTEO)
Πριν 3 χρόνια
ΕΟΔΥ 6/6: 4 κρούσματα Covid 19 στη Χίο
Πριν 3 χρόνια
Πλεύρης: Υπάρχει πρόβλημα με το ΕΚΑΒ στη Χίο αλλά θα το λύσουμε
Πριν 3 χρόνια
Επίσκεψη Πλεύρη με κλειστές πόρτες σε κλειστά γραφεία
Πριν 3 χρόνια
Η Χίος των 60.000 κατοίκων αξίζει περισσότερα στην υγεία κύριε Υπουργέ
Πριν 3 χρόνια
ΕΟΔΥ 3/6: 7 κρούσματα Covid 19 στη Χίο
Πριν 3 χρόνια
ΕΟΔΥ 2/6: 19 κρούσματα Covid 19 στη Χίο
Πριν 3 χρόνια
Εμβολιασμός παιδιών και εφήβων για τους ιούς των ανθρώπινων θηλωμάτων (HPV)
Πριν 3 χρόνια
ΕΟΔΥ 1/6: 14 κρούσματα Covid 19 στη Χίο
Πριν 3 χρόνια
Κορονοϊός: Χωρίς μάσκες στους εσωτερικούς χώρους από σήμερα
Πριν 3 χρόνια
ΕΟΔΥ 31/5: 15 κρούσματα Covid 19 στη Χίο
Πριν 3 χρόνια
ΙΣΑ: «Καμπανάκι» για τον κίνδυνο διασποράς νέων στελεχών του κορωνοϊού το καλοκαίρι
Πριν 3 χρόνια
Τέλος η μάσκα σε εσωτερικούς χώρους από την Τετάρτη
Πριν 3 χρόνια
ΕΟΔΥ 30/5: 14 κρούσματα Covid 19 στη Χίο
Πριν 3 χρόνια
Κορωνοϊός – Πλεύρης: "Εκτιμώ ότι από τον Σεπτέμβριο θα πάμε σε 4η δόση εμβολίου για όλους"
Πριν 3 χρόνια
30 Μαΐου - Παγκόσμια ημέρα πολλαπλής σκλήρυνσης
Πριν 3 χρόνια
Οπλίτες ιατροί σε Οινούσσες και Ψαρά
Πριν 3 χρόνια
ΕΟΔΥ 27/5: 6 κρούσματα Covid 19 στη Χίο
Πριν 3 χρόνια
«Μαζί τρέχουμε πιο γρήγορα από τον καρκίνο»
Πριν 3 χρόνια
ΕΟΔΥ 26/5: 13 κρούσματα Covid 19 στη Χίο
Πριν 3 χρόνια
Κατάργηση της μάσκας από 1η Ιουνίου στις εκπαιδευτικές δομές - Εξαιρούνται οι εξετάσεις
Πριν 3 χρόνια
Κατεβάζουν ρολά οι εργαστηριακοί ιατροί μέχρι το Σάββατο (ΒΙΝΤΕΟ)
Πριν 3 χρόνια
ΕΟΔΥ 25/5: 19 κρούσματα Covid 19 στη Χίο
Πριν 3 χρόνια
ΕΟΔΥ 24/5: 19 κρούσματα Covid 19 στη Χίο
Πριν 3 χρόνια
ΕΟΔΥ 23/5: 9 κρούσματα Covid 19 στη Χίο
προηγούμενη
7
8
9
10
11
επόμενη